V sobotu 11. října se na rokycanské hvězdárně sešla většina nejaktivnějších pozorovatelů zákrytů hvězd planetkami z celé České republiky. Jedním z bodů letošního setkání ZARok, tedy členů Zákrytové a astrometrické sekce ČAS a zájemců o měření časů zákrytů hvězd tělesy Sluneční soustavy, bylo pohovořit si o rozumných limitech parametrů planetkových zákrytů vhodných pro sledování. Této problematice byl částečně věnován i letošní jarní zákrytářský workshop, na nějž jsme podzimním setkáním navázali.
Hlavním účelem bylo vymezit si rozumné meze, které by neměly být překračovány při výběru vhodných úkazů pro pozorování dané užívanou technikou, parametry úkazů i aktuálními meteorologickými podmínkami. Všechny tyto faktory se při sledování zákrytů vzájemně prolínají a ve své kombinaci na nich závisí kvalita a důvěryhodnost získávaných výsledků.
Důvod je jednoduchý. Naprosto zřetelně se projevuje zrychlující se trend nárůstu pozorování a to při stagnujícím počtu pozorovatelů. Velice dobře je to patrné na připojeném grafu, který ukazuje, jak dlouhý časový interval byl potřebný k tomu, aby počet hlášení do evropského systému SODIS narostl o 1000 měření. Graf zachycuje období od zavedení nového systému (závěr roku 2022) až po současnost. Patrné je opakování ročního cyklu (pokles počtu pozorování v letním období krátkých nocí), ale celkový trend zkracování tisícových intervalů z roku na rok je nepřehlédnutelný. Na první pohled bychom měli mít radost z aktivity pozorovatelů, ale na stranu druhou přibývá problematických měření, která následně neúměrně a často i zcela zbytečně zatěžují revizory na všech úrovních. A co je ještě nepříjemnější, snižují důvěryhodnost zákrytových pozorování jako celku.
Je proto otázkou, jak přistupovat k výběru předpovídaných, sledovaných a hlášených pozorování. Zdá se, že se zlepšující se přesností předpovědí dochází čím dál častěji ke sledování zákrytů nejen větších planetek, ale i objektů velice malých (s předpokládanými průměry pod 10 km). Při posuzování vhodnosti zařadit daný úkaz na svůj observační seznam právě tato skutečnost hraje důležitou roli.
Velké planetky, jejichž dráhy i hrubé rozměry jsou většinou dobře známy, charakterizuje obvykle vyšší jasnost v porovnání se zakrývanou hvězdou a tím pádem také malý pokles jasu při zákrytu. Zakrývaných jasných hvězd je relativně málo. Na druhou stranu svým větším průměrem je u nich delší doba trvání zákrytu, což umožňuje užít delší integraci.
U malých planetek je tomu z pochopitelných důvodů vesměs zcela opačně. I při zákrytech méně jasných hvězd je pokles jasu v řádu jednotek magnitud. Problematická je však délka úkazu počítající se vesměs na desetiny sekund. Pro dodržení časového rozlišení je pak nutno užívat velice krátké expoziční časy, které ale nedovolují pozorování zákrytů slabších hvězd.
Již dlouho omílaným základním pravidlem, kterým by se měl řídit každý zodpovědný pozorovatel zákrytů hvězd planetkami, je podíl předpovídané délky zákrytu na centrální linii v poměru k užitému expozičnímu času (integraci). Podíl by neměl být menší než 10 a v případech malého poklesu jasu o méně než jedna magnituda je požadavek na tuto hodnotu ještě podstatně přísnější.
Neméně zajímavé je, podívat se na užitečnost sledování zákrytů s ohledem na vzdálenost pozorovací stanice od centrální linie úkazu. Připojený graf ukazuje procentuální četnost pozitivních měření (osa y) s ohledem na vzdálenost pozorovatele od předpověděné osy stínu udanou v jeho poměrech. Statistika je zpracována pro naše pozorovatele za rok 2024, tedy z relativně malého vzorku. Ale obdobné zpracování za pololetí 2025 dává velice podobné výsledky. Je zřejmé, že pravděpodobnost pozitivního měření, pokud pozorujete v pásu stínu (hodnoty 0 – 1), je kolem 75%. Zbylých 25% připadá na interval 1 až 2, tady do vzdálenosti jednoho poloměru šíře stínu kolem stopy. Zbylá pozorování pak lze považovat za náhodné extrémy. Neobstojí ani argument, že ve větších vzdálenostech od pásu zákrytu pátráme po satelitech planetek. Podle našich současných znalostí se takové objekty vyskytují v převážné míře ve vzdálenostech nepřesahujících pětinásobek jejich poloměru. Zajímavé je, že v intervalu 0 až 1 poloměru, tedy v předpověděném pásu zákrytu se neprojevila žádná významná preference s narůstající vzdáleností od centrální linie. Vysvětlení mohou být hned dvě. Prvním je přeci jen malý statistický vzorek a druhým, který se mně jeví významnějším je skutečnost, že při sledování především malých planetek se čím dál tím častěji využívají výjezdy za takovými úkazy. Mobilní pozorovatel se pak vždy snaží dostat se co nejblíže k centrální linii a takových pozorování je proto více. Současně se zde ale také projeví přeci jen vyšší procento negativních měření představujících nepřesnost předpovědí.
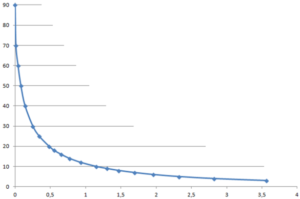
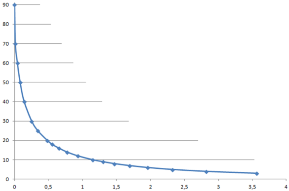
Svoji nezanedbatelnou roli při výběru úkazů vhodných pro sledování mají i obecné podmínky, které událost provázejí. Velice důležitým ukazatelem je výška úkazu nad horizontem. A nejedná se jen o aktuální výšku obzoru danou krajinou kolem pozorovatelny. Svoji roli samozřejmě hraje i zemská atmosféra. Graf zachycuje pokles jasu hvězdy (či planetky) v závislosti na výšce nad horizontem. Je z něho patrné, že ve výšce kolem 15° dochází zlomově k rychlému poklesu jasu hvězdy. Navíc je nezbytné zdůraznit, že uvedené hodnoty odpovídají snížení jasu za ideálních podmínek, které nízko nad obzorem většinou nepanují.
Svoji negativní úlohu samozřejmě hraje i jas oblohy. Rozhodující roli určuje, jak hluboko pod obzorem se v čase úkazu nachází Slunce, případně jak daleko od zářícího Měsíce, nacházejícího se v určité fázi, se zákryt odehrává. V jednotlivých případech je samozřejmě situace odlišná a závisí na jasnosti zakrývané hvězdy, ale i na její výšce nad obzorem či umístění na obloze. Vždy však je nutno zvažovat i tyto faktory.
Všechny výše uvedené pohledy na výběr smysluplně pozorovatelných zákrytářských úkazů jsou obecné. Ale jiný přístup si žádá rozlišit velká a malá tělesa. Uvedeným pohledem jsou tzv. sólová pozorování. Tedy sledování, při nichž jsou získána pro úkaz data pouze od jediného pozorovatele. Počet podobných měření průběžně narůstá a se zvyšujícím se počtem pozorování malých planetek se tento trend stává rok za rokem výraznějším. V roce 2024 naši pozorovatelé hlásili do SODISu plných 73,2 % sólo měření (vztaženo k počtu sledovaných úkazů). Obecně lze konstatovat, že i pozitivní samostatné měření nic neříká o tvaru planetky a maximálně určí její minimální velikost. U velkých asteroidů, s často již dobře známou dráhou, případně i velikostí (i tvarem), nepřináší ani informaci zpřesňující naše znalosti. Smysl tak mají především pozorování z více stanic.
Malá tělesa jsou v tomto ohledu zajímavější. Získání i jen jedné tětivy může přispět k potvrzení, případně zpřesnění dráhy. A pokud by jim byla věnována náležitá pozornost, mohou být zajímavá i negativní pozorování provedená blízko předpověděné dráhy stínu. Signalizují totiž skutečnost, že naše předpokládaná dráha je chybná a planetce je třeba věnovat pozornost v rámci astrometrie.
Naprosto samostatnou kapitolou je pak používaná (respektive dostupná) technika, kterou ke sledování zákrytů využíváme. Pryč jsou doby, kdy pozorovatel seděl u dalekohledu se stopkami, nebo kdy jedinou dostupnou kamerou byl analogový OSCAR, později nahrazený citlivějším přístrojem Watec 120, následovaný novějším typem Watec 910. Dnes, po vyřešení navázání na časovou základnu, začínají převládat supercitlivé digitální kamery QHY, DVTI, ASI či FLI. Nabídka je tedy velice pestrá a „pestřejšími“ se tím pádem často stávají i získávané výsledky. Zpracování nahrávek je velice specifické a v okamžiku, kdy přesnost požadovaných výsledků se z desetin sekund přesunula (především opět u sledování malých planetek) k jejich setinám, je na ně kladen značný důraz. Je nutno zohledňovat specifika jednotlivých přístrojů.
Výše uvedený výčet přístupů k současnému sledování zákrytů hvězd planetkami ani zdaleka není kompletní. Na druhou stranu doufám, že se podařilo pojmenovat alespoň ty nejdůležitější. Chci zdůraznit, že ani v nejmenším by následující zobecněná doporučení neměla být brána jako nepřekročitelná hranice. Občas se vyskytne úkaz, který je natolik mimořádný a z odborného hlediska zajímavý, že pokusit se o jeho zaznamenání stojí za jejich porušení. Obdobné je to i v případech vyhlášení jedinečných pozorovacích kampaní.
Všichni děláme svá pozorování ze zájmu o danou problematiku a naším cílem (doufám) je získávání nových poznatků, které se týkají početné rodiny malých těles Sluneční soustavy, případně odhalování neméně početné komunity vícenásobných stálic. Na straně druhé je žádoucí, aby každý pozorovatel, především při sledování úkazů zahrnujících tělesa hlavního pásu planetek, akceptoval rozumné hranice dané užívanou technikou, aktuálními podmínkami a především parametry jednotlivých úkazů.
| Doporučené limity | hraniční | vylučující |
| předpověděná délka zákrytu na centrální linii | pod 0,4 s | pod 0,2 s |
| předpokládaný pokles jasu v čase zákrytu | pod 0,4 mag | pod 0,2 mag |
| integrace – počet snímků teoreticky na centrální linii | pod 10 bodů | pod 5 bodů |
| vzdálenost od centrální linie v poloměrech šíře stínu | více než 5 r stínu | |
| výška úkazu nad obzorem | níž než 15° | níž než 10° |
| výška Slunce | výš než -12° | výš než -8° |
| poměr signál/šum u pozitivních měření | méně než 5 | |
| minimální délka nahrávky | ±1 minuta | |
Budu rád, jestliže se na základě tohoto článku, a především výše uvedených limitů, rozproudí širší diskuse. A přiznávám, že ještě více by mě osobně potěšilo, pokud by se jimi naši pozorovatelé začali řídit.
